Powdershape - the powder analyser
|
All you need.
|

|
- Fast, easy and low-cost
analysis of powder particle distribution
for quality control.
|
- three step menu
- no expert needed
- no microscope
- continuous powder quality check
|
 |
|
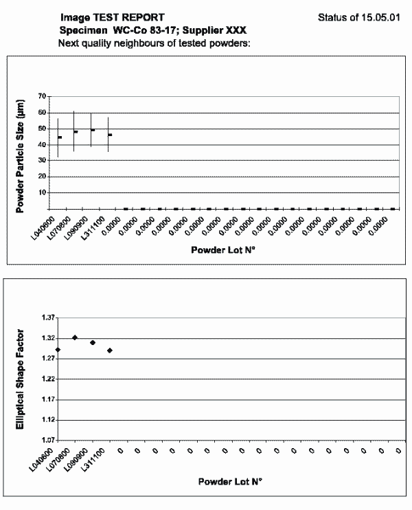
Have a look at some testreports:

For more details, have a look at Powdershape whitepaper, visit www.istscan.de,
or contact